School of Ocean and Earth Science and Technology, University of Hawaii, Honolulu, Hawaii, and IFREMER, Plouzané, France
Rudolf KloosterzielSchool of Ocean and Earth Science and Technology, University of Hawaii, Honolulu, Hawaii
Laurence ArmiScripps Institution of Oceanography, University of California, San Diego, La Jolla, California
ABSTRACT
Mass, angular momentum, and energy budgets are examined in an analytical model of vortex merging relevant to midlatitude mesoscale eddies. The vortices are baroclinic and cyclogeostrophic. The fluid surrounding them is assumed to remain quiescent. It is shown that due to this surrounding fluid, angular momentum is conserved when expressed in both the inertial and rotating frames of reference.
Lens-shaped solid-body vortices can conserve mass, angular momentum, and energy when they merge. If an upper-layer of thickness H1 is included in the model, the merged vortex must have either less energy or mass than the sum of the original two vortices.
A more complex model of the vortex azimuthal structure is then considered, which includes a constant vorticity shell surrounding the solid-body core. If the shell is large compared to the core, the mass, angular momentum, and energy can all be conserved in the merged vortex. However, if the shell is small, the merged vortex must have less energy or mass than in the solid-body case.
TABLE OF CONTENTS
[1. Introduction] [2. Development of...] [3. Vortex merging] [4. Discussion] [References] [Figures]
Like-sign vortices merge in rotating tanks (Nof and Simon 1987
; Griffiths and Hopfinger 1987
) and in the ocean (Cresswell 1982
; Tokos et al. 1994
). Merging has been numerically modeled in a wide range of settings (Melander et al. 1988
; Verron and Valcke 1994
; Carton and Bertrand 1994
; Valcke and Verron 1997
). Presumably, the characteristics of the merged vortex are set by those
of its parents and the relevant conservation laws. But what properties are
conserved in vortex merging? Gill and Griffiths (1981)
demonstrated that, if potential vorticity and mass are conserved by
two merging anticyclones, the final state contains more energy than the initial
state. This “energy paradox” is at odds with the known spontaneous nature
of vortex merging (Cushman-Roisin 1989
). Several attempts to resolve this paradox have questioned the assumptions of potential vorticity or mass conservation (Nof 1988
; Cushman-Roisin 1989
; Pavia and Cushman-Roisin 1990
).
Once
vortices come into contact, merging takes place in two stages: fusion and
axisymmetrization. During fusion, the vortices rapidly exchange fluid and
homogenize into a central, elliptical vortex. In the subsequent, relatively
slow axisymmetrization stage, the elongated vortex becomes S-shaped and sheds
part of its mass into spiral-shaped filaments while its core becomes circular.
This inviscid process is particularly dramatic in potential-vorticity-conserving
numerical models (Melander et al. 1988
; Pavia and Cushman-Roisin 1988
) and has been observed in tank experiments (Griffiths and Hopfinger 1987
). Cushman-Roisin (1989)
proposed that filamentation plays a fundamental role in the merging,
acting to relax mass conservation in the framework of the Gill and Griffiths (1981)
merging model.1 He also introduced an
additional constraint, conservation of the absolute angular momentum (the
angular momentum formulated in the inertial reference frame). He argued that
this angular momentum must be conserved in the final vortex if the merging
is complete, a condition not met by the solutions of Gill and Griffiths (1981)
(Pavia and Cushman-Roisin 1990
).
Cushman-Roisin’s (1989)
model assumes that the potential vorticity of each fluid parcel is
conserved. He concludes that a significant fraction of the initial mass must
be shed into filaments. However, when Nof and Simon (1987)
allowed anticyclonic lenses to merge in a rotating tank, the initial
vortex mass was conserved in the merged vortex (i.e., filamentation was negligible).
Furthermore, the central depth of the vortices rapidly decreased as they
fused. This depth must increase to conserve potential vorticity, suggesting
that potential vorticity is not conserved during fusion (Nof and Simon 1987
). Nof (1988)
argued that highly viscous, turbulent mixing occurs along the interface of the vortices, which can cause an O(1) alteration in the fluid parcel’s potential vorticity (Nof 1986
). This hypothesis suggests that the energy paradox can be resolved
by relaxing the a priori assumption of potential vorticity conservation.
However, Pavia and Cushman-Roisin (1990)
examined solutions to the merging model that conserve mass and energy
in the final vortex; they argued that angular momentum was not in general
conserved, rendering these solutions physically unacceptable.
In this note, we examine an analytical model of vortex merging similar to those of Gill and Griffiths (1981)
and Pavia and Cushman-Roisin (1990)
. We examine Nof’s (1988)
hypothesis for resolving the energy paradox by relaxing the constraint
of potential vorticity conservation. We formulate angular momentum conservation
in the inertial reference frame; unlike Cushman-Roisin (1989)
and Pavia and Cushman-Roisin (1990)
, we include the fluid that surrounds the merging vortices. While this
fluid is assumed to remain quiescent, it bears absolute angular momentum,
which is altered when the fluid is rearranged during merging. We demonstrate
that the absolute angular momentum of the total system, vortices and surrounding
fluid, is equal to the background angular momentum (the absolute angular
momentum in the absence of vortices), plus the sum of the vortex relative
angular momentum (the angular momentum seen in the rotating reference frame).
As a consequence, conservation of the total absolute angular momentum is
equivalent to conservation of the relative angular momentum of the vortices.
We conclude that solutions exist for the merging model that do not present
an energy or angular momentum paradox. Using a generalized model of the vortex
structure, we present two possible merging scenarios based on the choices
of conserved quantities. In the discussion, we highlight the difference between
our formulation of angular momentum conservation and that of Cushman-Roisin (1989)
and discuss physical mechanisms that can account for reduced mass or energy in the final state.
The model has two layers: the upper layer (density
) extends from z = 0 to z =
H1 and the lower layer (density
+ 
) extends from z =
H1 to z =
H2 (Fig. 1
). The system is rotating at angular speed
(Fig. 2
) and is subject to a potential that includes gravity and centrifugal force (the familiar f-plane
approximation). Before merging, there are two identical, azimuthally symmetric
vortices in the upper layer, touching at a single point. We assume that the
fluid is reorganized into quiescent fluid surrounding a single vortex. We
assume that the final vortex has the same velocity structure as its parents;
for example, vortices in solid-body rotation merge to produce a vortex also
in solid-body rotation (though not necessarily rotating at the same rate).
Because we assume the vortices are in contact at time t = 0, we do not address the sensitivity of merging on the initial separation distance of the vortices.
a. Mass and angular momentum of an isolated vortex
Consider a vortex in the upper layer with radius ro, extending vertically from the surface z =
(r) to z =
H1
h(r) (
). The surface deflection
is related to the azimuthal speed
by cyclogeostrophy:

is g
/g = 
/
. The total mass of the vortex is
,
(3)


= L + MR2o
+ (IH + Ih + I
)
(7)

b. Angular momentum of vortices immersed in quiescent fluid
In the absence of vortices, the absolute angular momentum of the quiescent background state would be

In the presence of N vortices (denoted by the subscript
= 1, ·
·
·
, N), the absolute angular momentum of the quiescent surrounding fluid is

back because the vortices occupy some volume below z = 0. The absolute angular momentum of the total system (with N vortices) is obtained by adding (7) and (11):
above z = 0; revolution and rotation of this mass at speed
adds angular momentum to the background state. Similarly, vortices extend a distance h
into the lower layer; because this fluid is lower in density, it subtracts angular momentum from the background state. Using (5) and (9), (12) simplifies to
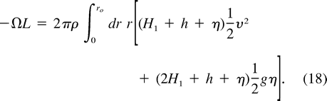
c. Energy of vortices
The
fluid in the rotating reference frame is subject to a potential that includes
the centrifugal force. In the inertial frame, the potential consists of only
gravity, complicating the formulation of energy conservation in that frame.
Thus, following




r
may be integrated by parts, yielding

L
gH1m
.
(19)
When two identical vortices (denoted by subscripts a and b) merge to produce a single vortex (c) without entraining surrounding fluid, mass conservation requires
(21)
By definition, the background angular momentum
back remains unchanged. Thus, from (13), conservation of angular momentum requires
(22)
From (20), energy conservation Ec = Ea + Eb requires
Lc + gH1m
,c =
La + gH1m
,a +
Lb + gH1m
,b.
(23)
,c = m
,a + m
,b
(24)
We now examine the merging properties of particular vortex structures.
A solid-body vortex has the velocity structure
(r) =
r, where
is constant. By imposing
= 0 at r = ro, cyclogeostrophy (1) may be integrated to yield

)
.
(26)
Consider two identical solid-body vortices (a and b) merging to produce vortex c, assumed to be also in solid-body rotation. Given
a,
b, ra, and rb, two independent conservation laws determine
c and rc. This leads to the dilemma faced by Pavia and Cushman-Roisin (1990)
: which of the three constraints (mass, angular momentum, and energy
conservation) should apply? Following Pavia and Cushman-Roisin, we consider
two separate merging scenarios; in each we conserve two of these properties
and examine what happens to the third. Physical interpretations of the results
will be discussed in the final section. We restrict the development to the
particular case of identical merging vortices (
a =
b, ra = rb), and reject values of (
a, ra) that yield a nonpositive central thickness H1 + h(r) +
(r).
1) CONSERVING MASS AND ANGULAR MOMENTUM
shows the values of
c and rc, which conserve mass and angular momentum. Several curves are shown, each corresponding to a fixed ratio of ra to the internal Rossby radius Rd:
0 or ra/Rd
, the vortices become anticyclonic lenses; in particular, zero potential vorticity lenses (
1 = 
) merge such that
or ra/Rd
0, the vortices become 2D cylinders that merge such that
shows the ratio of final energy Ec to initial energy 2Ea. For lens-shaped anticyclonic vortices, energy is conserved. However, for finite ra/Rd, energy must be lost in the merging; the loss reaches 50% at the limit of cylindrical vortices.
2) CONSERVING ANGULAR MOMENTUM AND ENERGY
shows the values of
c and rc, which conserve angular momentum and energy. Compared to the mass-conserving scenario (Fig. 3
), the change in period (
a/
c) is smaller for a given ra/Rd and decreases with decreasing ra/Rd; the final radius is also smaller. For finite ra/Rd, the final vortex has less mass than the initial two vortices. At the limit of cylindrical vortices (ra/Rd
0), the mass loss is Mc/2Ma = 1/
(2). For lens-shaped anticyclonic vortices (ra/Rd =
), mass is conserved.
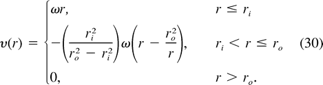
b. Vortices with finite-shear edges

is continuous at r = ri, ro (Fig. 5
). The solid-body core extends to r = ri, and is surrounded by a constant vorticity shell extending to r = ro. Outside this shell, there is no circulation induced by the vortex [i.e., this is an “exactly shielded” vortex as defined by Carton and Bertrand (1994)
]. The vortices are completely included over an arbitrary finite domain. The ratio of shell vorticity
o to core vorticity
i is
ri, the outer shell is nearly irrotational and the vortex becomes Rankine-like. If ro <
(2)ri, the magnitude of the shell vorticity is larger than that of the core vorticity.
Vortices
of this structure may be centrifugally unstable. If a fluid parcel orbiting
a cyclogeostrophic vortex is infinitesmally perturbed, it experiences a restoring
force proportional to
r(
r +
r2)2
(32)
i < 
, while cyclones are unstable if the anticyclonic shell vorticity
o is less than 
.
Thus, rapidly spinning anticyclones and narrow-shelled cyclones are unstable.
In this paper, we do not explore solutions in the (
, ri, ro)
parameter space describing unstable vortices. We also discard choices of
these parameters that yield nonpositive central depths for the cyclonic vortices.
There is no guarantee that the set of nonlinear conservation laws can be simultaneously satisfied by a unique combination of
c, ri,c, and ro,c.
Paralleling the solid-body case, we examine two merging scenarios: one in
which mass is conserved a priori and the other in which energy is conserved.
In both scenarios, we assume that the mass Mi of the solid-body core is conserved:

This
constraint demands that fluid parcels retain the sign of their vorticity;
that is, the core of the merged vortex is the fused cores of the initial
vortices, and mass changes in the energy-conserving scenario are associated
solely with shell fluid.4
1) CONSERVING TOTAL MASS AND ANGULAR MOMENTUM
shows the characteristics of the merged vortex (
c, ri,c and ro,c) as functions of
a/
for ro,a/ri,a = 10. Compared to the solid-body counterpart to this scenario (Fig. 3
), the period jump
a/
c is closer to 2 and the radius jump ri,c/ri,a is closer to
(2), that is, closer to those of the limiting case of infinite cylinders.
The energy loss is nearly independent of
a/
. Energy is lost for small ri,a/Rd, but less so than in the solid-body counterpart (Fig. 3
). For ri,a/Rd
8, energy is conserved within 0.1% for all values of
a/
.
Figure 7
shows how the characteristics of the merged vortex vary as a function of shell width ro,a/ri,a, for the limiting case of a zero potential vorticity anticyclonic core (
a/
=
1). For nearly irrotational shells (ro,a
ri,a), the merged vortex has a core period nearly double that of the original vortices (
a/
c
2) and inner and outer radii larger by 
(2). The dependence of the solutions on ri,a/Rd increases as ro,a
ri,a (the solid-body limit), and energy is lost (particularly for small ri,a/Rd).
2) CONSERVING ANGULAR MOMENTUM AND ENERGY
shows the characteristics of the merged vortex for ro,a/ri,a = 10. Compared to the solid-body counterpart of this scenario (Fig. 4
),
a/
c is again closer to 2 and ro,c/ro,a is closer to
(2), that is, closer to those of infinite cylinders.
Mass is conserved in the limit ri,a
Rd. Smaller vortices lose mass when they merge, nearly independently of
a/
. For ri,a = Rd, 7%–8% of the mass is lost in the merging.
Figure 9
shows the characteristics of the merged vortex as a function of ro,a/ri,a, for
a/
=
1. For vortices with nearly irrotational shells, mass is conserved. The mass loss exceeds 10% for shell radius smaller than ro,a/Rd
10.
4. Discussion
Although we assume that the surrounding fluid remains quiescent, when the total depth H2
is finite, fluid columns underlying the vortices may be compressed or stretched
in the merging. A column of quiescent fluid beneath a vortex bears potential
vorticity 2
/(H2
H1
h), where h is the downward displacement of the interface. If during merging h increases by
h, the underlying column must gain anticyclonic vorticity
,

h and exact in the 1˝-layer limit H2
.
This limit is appropriate for midlatitude open ocean baroclinic eddies, but
does not apply to lens-shaped vortices whose height are an appreciable fraction
of the total water depth (Nof and Simon 1987
). In this case, cyclonic motion induced in the second layer contributes significantly to the total energy of the system (Dewar and Killworth 1990
).
In their examination of lens-shaped vortex merging, Pavia and Cushman-Roisin (1990)
conserved the mass and energy of the initial vortices, and showed that
the absolute angular momentum of the vortices was not conserved. However,
there is no “angular momentum paradox” inherent in their result, due to the
role of the surrounding fluid in the total angular momentum budget. A simple
thought experiment can serve to highlight this role: consider a pair of cylinders
(density
, mass ma, radius ra in solid-body rotation at relative rate
a) touching at the center of a tank that rotates at
. The cylinders are surrounded by fluid of density 
. Later, they have merged to produce a single cylinder of the same density with mass mc = 2ma, radius rc, and rotation rate
c. It is centered on the contact point of the parent vortices. Conservation of mass requires rc =
(2)ra, and angular momentum conservation for the entire system requires


= 0, and (35) becomes
This expression is analogous to the formulation of angular momentum conservation of Cushman-Roisin (1989)
and Pavia and Cushman-Roisin (1990)
. With 
= 0, we are essentially considering coalescing fixed-height disks on a rotating
table. To an observer in the rotating frame, the rotation rate of the resulting
disk is more positive (for positive
)
than it would be in the absence of rotation, due to Coriolis deflection applying
a net torque on the coalescing particles (cf. Feynman et al. 1987
, p. 19-8). However, if 
=
, (35) simplifies to

Our model demonstrates that solid-body vortices can conserve mass, angular momentum, and energy in the lens-shaped limit H1 = 0. For nonzero H1 either energy or mass conservation must be relaxed, leading to the two merging scenarios discussed in this paper.5
In the first scenario, if mass is conserved, the final vortex has less total
energy than its parents. These solutions are thus “energetically allowable”
(Dewar and Killworth 1990
) in the sense that an external energy source is not required, analogous
to the classical Rossby adjustment problem that has a steady-state solution
with one-third of the initial energy (cf. Gill 1982
, pp. 191–203), the remaining energy having been removed via Poincaré
wave radiation. Turbulent mixing during merging can also lower the energy
state of the merged vortex (Nof 1986
).
In the second scenario, if energy is conserved, the final vortex has less mass than its parents. Cushman-Roisin (1989)
proposed that merging vortices eject fluid in narrow filaments as they become axisymmetric (Griffiths and Hopfinger 1987
; Melander et al. 1988
). Because these filaments bear negligible energy and relative angular
momentum but a significant fraction of the mass, they are modeled implicitly
by relaxing mass conservation, as was done in the second scenario (Pavia and Cushman-Roisin 1990
).
In
summary, vortices can conserve mass, angular momentum, and energy when they
merge in two physically important limits of vortex structure: lens-shaped
anticyclones and Rankine-like eddies. All three properties cannot be simultaneously
conserved over the full range of parameters considered here; in general,
mass or energy must be lost, presumably due to Poincaré wave radiation, turbulent
dissipation, or filamentation. Future laboratory experiments and field observations
could determine which scenario best describes the merging of oceanic vortices.
Acknowledgments.
The authors would like to thank B. Cushman-Roisin, J. Verron, E. Hopfinger,
Gert Jan van Heijst, B. Le Cann, J. Paillet, Y. Morel, and X. Carton for
valuable conversations on the subjects of vortex dynamics and merging. Support
for P. Flament and R. Lumpkin was provided by Office of Naval Research Contract
N000149710147. R. C. Kloosterziel and P. Flament received support from National
Science Foundation Grant OCE 97-30843. R. Lumpkin would like to thank IFREMER
for hosting during a French Minister of Foreign Affairs postdoctoral fellowship.

Fig.
1. Side view of a vortex and surrounding quiescent fluid in the 2-layer model.
For a vortex in solid-body rotation, the surface and interface displacements
are parabolic, as sketched here.

Fig. 2. Top view of the merging model. The center of rotation of the system is at the
.

Fig. 3. Top: ratio of final rotational frequency
c to initial frequency
a as a function of
a/
,
for solid-body vortices, which conserve mass and angular momentum when they
merge. The label for each curve indicates the value of ra/Rd. The heavy line gives the solution for a lens-shaped vortex (Rd = H1 = 0). Some curves end before reaching
a =
; at greater values of
a, the vortex has negative thickness H1 + h +
at its center and is thus not geometrically valid. Middle: ratio of final radius rc to initial radius ra as a function of
a/
. Bottom: ratio of final energy Ec to initial energy 2Ea. Except in the lens-shaped case, the merged vortex has less energy.

Fig. 4. Top: ratio of final rotational frequency
c to initial frequency
c as a function of
a/
,
for solid-body vortices, which conserve angular momentum and energy when
they merge. The label for each curve indicates the value of ra/Rd. The heavy line gives the solution for a lens-shaped vortex (Rd = H1 = 0). Some curves end before reaching
a =
; at greater values of
a, the vortex has negative thickness H1 + h +
at its center and is thus not geometrically valid. Middle: ratio of final radius rc to initial radius ra as a function of
a/
. Bottom: ratio of final mass Mc to initial mass 2Ma. Except in the lens-shaped case, the merged vortex has less mass.

Fig. 5. Top: azimuthal velocity
(r) vs radial distance for a vortex with a constant vorticity shell surrounding a solid body core. For this vortex,
= 
. Bottom: sea surface displacement
vs radial distance, calculated by integrating the cyclogeostrophic relation (1).

Fig. 6. Top: ratio of final rotational frequency
c to initial frequency
a as a function of
a/
, for finite-shear vortices, which conserve total mass and angular momentum when they merge (ro,a = 10ri,a). The label for each curve indicates the value of ri,a/Rd. Some curves end before reaching
a =
; at greater values of
a, the vortex would have negative thickness H1 + h +
at its center and is thus not geometrically valid. Middle, upper: ratio of final core radius ri,c to initial core radius ri,a. Middle, lower: ratio of final shell radius ro,c to initial shell radius ro,a. Bottom: ratio of final energy Ec to initial energy 2Ea.

Fig. 7. Top: ratio of final rotational frequency
c to initial frequency
a as a function of ro,a/ri,a, for finite-shear anticyclonic vortices, which conserve total mass and angular momentum when they merge, at the limit
a/
=
1. The label for each curve indicates the value of ri,a/Rd. Middle, upper: ratio of final core radius ri,c to initial core radius ri,a. Middle, lower: ratio of final shell radius ro,c to initial shell radius ro,a. Bottom: ratio of final energy Ec to initial energy 2Ea.

Fig. 8. Top: ratio of final rotational frequency
c to initial frequency
a as a function of
a/
, for finite-shear vortices, which conserve angular momentum and energy when they merge (ro,a = 10ri,a). The label for each curve indicates the value of ri,a/Rd. Some curves end before reaching
a =
; at greater values of
a, the vortex would have negative thickness H1 + h +
at its center and is thus not geometrically valid. Middle, upper: ratio of final core radius ri,c to initial core radius ri,a. Middle, lower: ratio of final shell radius ro,c to initial shell radius ro,a. Bottom: ratio of final mass Mc to initial mass 2Ma.

Fig. 9. Top: ratio of final rotational frequency
c to initial frequency
a as a function of ro,a/ri,a, for finite-shear vortices, which conserve angular momentum and energy when they merge (
a/
=
1). The label for each curve indicates the value of ri,a/Rd. Middle, upper: ratio of final core radius ri,c to initial core radius ri,a. Middle, lower: ratio of final shell radius ro,c to initial shell radius ro,a. Bottom: ratio of final mass Mc to initial mass 2Ma.
Cushman-Roisin
explicitly included an idealized model for the filaments, and concluded that
when zero potential vorticity lenses merge, 23% of their mass goes into the
filaments while 96% of their energy is retained in the merged vortex.
Specifically, the vertical component of the angular momentum vector.
The
equivalency of these invariants can also be derived directly from the momentum
and continuity equations for a rotating, multilayer fluid (B. Cushman-Roisin,
1999, personal communication).
When
2D vortices of the exactly shielded structure are brought into contact, their
cores merge while shell fluid is lost. However, if they have shell vorticity
greater than that given by (31)
(and consequently induce circulation around the edge of any arbitrarily large,
finite domain), their interaction in the presence of instability may cause
the shell fluid to merge while core fluid is rejected (Carton and Bertrand 1994
). The possibility of such an “inverted merging” is not considered here.
A
third scenario was considered in which mass and energy were conserved. The
final state contained more angular momentum than the initial state, leading
us to reject this scenario as a physically meaningful description of free
vortex merging.
School of Ocean and Earth Sciences and Technology, University of Hawaii Contribution Number 4897.