Image

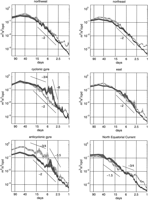
Fig. 8. Log–log plots of the Lagrangian cyclonic (solid, heavy shading) and anticyclonic (dashed, light shading) spectra for the six groups. The shading indicates the standard error bars.