Image

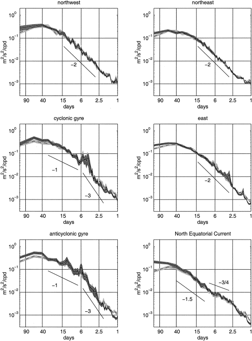
Fig. 7. Log–log plots of the Lagrangian spectra of u (solid, heavy shading) and v (dashed, light shading) for the six groups. Shading indicates the standard error bars.