Image

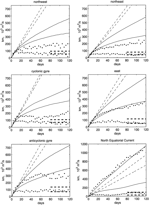
Fig. 4. Dispersion and diffusivity for the six drifter groups. In all cases, the upper curve is zonal and the lower is meridional. Solid lines: rms displacement (km). Thin dashed lines: ballistic rms displacement according to rms eddy speed (km). Dots: eddy diffusivity calculated via Eq. (7) (103 m2/s). Heavy dashed lines: random-walk diffusivity limit predicted by Eq. (8) (103 m2/s).