Image

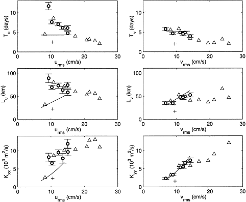
Fig. 3. Lagrangian properties as a function of rms eddy speed (left: zonal, right: meridional). Circles with standard error bars are the central North Pacific values. For comparison, triangles give values from Krauss and Böning (1987), pluses from Colin de Verdière (1983), and solid lines from Poulain and Niiler (1989) (their least-squares fits to a cloud of values).